Wegen der Definition s. Abschnitt
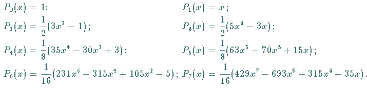
LEGENDREsche Polynome 1. Art (Kugelfunktionen),
eine Tabelle der Nullstelllen s.
Nullstellen der LEGENDREschen Polynome 1. Art.
 |
 |
 |
 |
 |
 |
 |
 |
0,3000 |
0,0000 |
0,3750 |
0,0000 |
0,3125 |
0,0000 |
 |
0,4962 |
0.0747 |
0,3657 |
0,0927 |
0,2962 |
0,1069 |
 |
0,4850 |
0,1475 |
0,3379 |
0,1788 |
0,2488 |
0,1995 |
 |
0,4662 |
0,2166 |
0,2928 |
0,2523 |
0,1746 |
0,2649 |
 |
0,4400 |
0,2800 |
0,2320 |
0,3075 |
0,0806 |
0,2935 |
 |
0,4062 |
0,3359 |
0,1577 |
0,3397 |
0,0243 |
0,2799 |
 |
0,3650 |
0,3825 |
0,0729 |
0,3454 |
0,1292 |
0,2241 |
 |
0,3162 |
0,4178 |
0,0187 |
0,3225 |
0,2225 |
0,1318 |
 |
0,2600 |
0,4400 |
0,1130 |
0,2706 |
0,2926 |
0,0146 |
 |
0,1962 |
0,4472 |
0,2050 |
0,1917 |
0,3290 |
0,1106 |
 |
0,1250 |
0,4375 |
0,2891 |
0,0898 |
0,3232 |
0,2231 |
 |
0,0462 |
0,4091 |
0,3590 |
0,0282 |
0,2708 |
0,3007 |
 |
0,0400 |
0,3600 |
0,4080 |
0,1526 |
0,1721 |
0,3226 |
 |
0,1338 |
0,2884 |
0,4284 |
0,2705 |
0,0347 |
0,2737 |
 |
0,2350 |
0,1925 |
0,4121 |
0,3652 |
0,1253 |
0,1502 |
 |
0,3438 |
0,0703 |
0,3501 |
0,4164 |
0,2808 |
0,0342 |
 |
0,4600 |
0,0800 |
0,2330 |
0,3995 |
0,3918 |
0,2397 |
 |
0,5838 |
0,2603 |
0,0506 |
0,2857 |
0,4030 |
0,3913 |
 |
0,7150 |
0,4725 |
0,2079 |
0,0411 |
0,2412 |
0,3678 |
 |
0,8538 |
0,7184 |
0,5541 |
0,3727 |
0,1875 |
0,0112 |
 |
1,0000 |
1,0000 |
1,0000 |
1,0000 |
1,0000 |
1,0000 |