Zurückblättern Weiterblättern Übergeordnetes Thema Sachgebiet Hauptinhaltsverzeichnis Stichwortverzeichnis Hilfeseiten        


Wichtige Eigenschaften bestimmter Integrale

Eigenschaft Formel
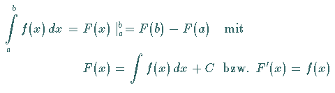
Hauptsatz der Integralrechnung  
Vertauschungsregel
Gleiche Integrationsgrenzen
Intervallregel
Unabhängigkeit von der Bezeichnung
der Integrationsvariablen
Differentiation nach
variabler oberer Grenze
Mittelwertsatz der Integralrechnung