Zurückblättern Weiterblättern Übergeordnetes Thema Sachgebiet Hauptinhaltsverzeichnis Stichwortverzeichnis Hilfeseiten        


Trapezförmige Zugehörigkeitsfunktionen

Weit verbreitet sind trapezförmige Zugehörigkeitsfunktionen. Die folgenden Beispiele für bereichsweise stetig differenzierbare Zugehörigkeitsfunktionen und Spezialfälle davon, wie beispielsweise dreieckförmige Zugehörigkeitsfunktionen, sind oft verwendete Funktionsgraphen. Mit stetigen bzw. bereichsweise stetigen Funktionsgraphen als Repräsentanten fuzzy-wertiger Größen, die miteinander verknüpft werden sollen, erhält man im allgemeinen glattere Ergebnisfunktionen für die Ausgabegröße.

Beispiel A

Die folgende, sich nach oben trapezförmig verjüngende Zugehörigkeitsfunktion, ergibt die darunter gezeigte Form des Funktionsgraphen.

(5.346)



Für und geht dieser Funktionsgraphgraph in den einer Dreieckfunktion über. Je nach Wahl unterschiedlicher Werte erhält man symmetrische oder asymmetrische Trapez-und symmetrische Dreieckfunktionen und oder asymmetrische Dreieckfunktionen und

Beispiel B

Die folgende, sich nach unten trapezförmig verjüngende Zugehörigkeitsfunktion, ergibt die dazu gezeigte Form des Funktionsgraphen.

(5.347)



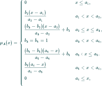
Beispiel C

Die folgende verallgemeinerte Trapezfunktion ergibt die dazu gezeigte Zugehörigkeitsfunktion.

(5.348)