Zurückblättern Weiterblättern Übergeordnetes Thema Sachgebiet Hauptinhaltsverzeichnis Stichwortverzeichnis Hilfeseiten        

Separierbarkeit

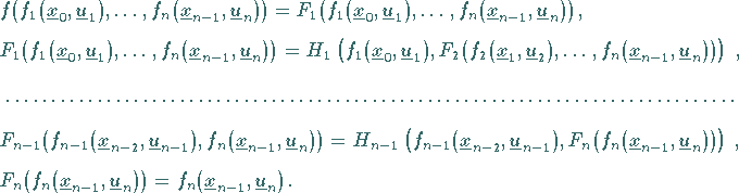
Die Funktion heißt separierbar , wenn sie mit zweiargumentigen Funktionen und mit Funktionen in folgender Form geschrieben werden kann:
(18.119)