Zurückblättern Weiterblättern Übergeordnetes Thema Sachgebiet Hauptinhaltsverzeichnis Stichwortverzeichnis Hilfeseiten        


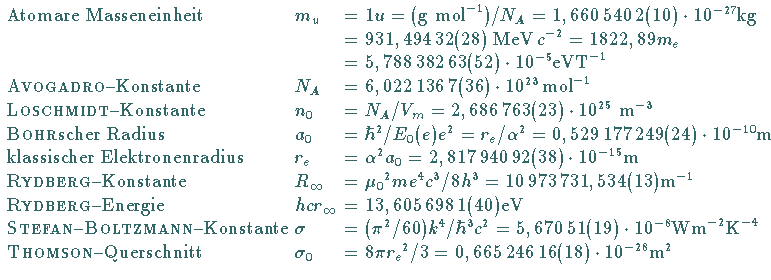
Konstanten der Atom- und Kernphysik

Atomhülle:

Atomkern: