Fourier-Transformationen
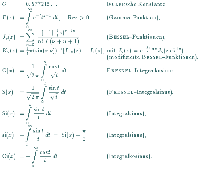
In den Tabellen vorkommende Symbole sind wie folgt definiert:
In der Tabelle vorkommende Abkürzungen für Funktionen entsprechen den in den Kapiteln eingeführten Definitionen.
Fourier-Kosinus-Transformationen
Fourier-Kosinus-Transformationen Seite 1 von 7
Fourier-Kosinus-Transformationen Seite 2 von 7
Fourier-Kosinus-Transformationen Seite 3 von 7
Fourier-Kosinus-Transformationen Seite 4 von 7
Fourier-Kosinus-Transformationen Seite 5 von 7
Fourier-Kosinus-Transformationen Seite 6 von 7
Fourier-Kosinus-Transformationen Seite 7 von 7
Fourier-Sinus-Transformationen
Fourier-Sinus-Transformationen Seite 1 von 6
Fourier-Sinus-Transformationen Seite 2 von 6
Fourier-Sinus-Transformationen Seite 3 von 6
Fourier-Sinus-Transformationen Seite 4 von 6
Fourier-Sinus-Transformationen Seite 5 von 6
Fourier-Sinus-Transformationen Seite 6 von 6
Fourier-Transformationen
Exponentielle Fourier-Transformationen