Zurückblättern Weiterblättern Übergeordnetes Thema Sachgebiet Hauptinhaltsverzeichnis Stichwortverzeichnis Hilfeseiten        


Lösung von Gleichungen

Mathematica stellt die Anweisung für die Lösung von Gleichungen zur Verfügung. In gewissem Sinne führt nacheinander die Operationen und durch.

Mathematica ist nur in der Lage, Gleichungen symbolisch zu lösen, wenn dies in Form algebraischer Ausdrücke überhaupt möglich ist, d.h. höchstens Gleichungen vierten Grades. Wenn jedoch Gleichungen höheren Grades durch algebraische Manipulationen wie Faktorisierung in einfachere algebraische Ausdrücke umgeformt werden können, dann ist Mathematica auch hier in der Lage, Lösungen zu bieten. versucht in solchen Fällen, mit den eingebauten Operationen und entsprechende Zerlegungen vorzunehmen.

Prinzipiell kann Mathematica unter bestimmten Voraussetzungen numerische Lösungen anbieten.

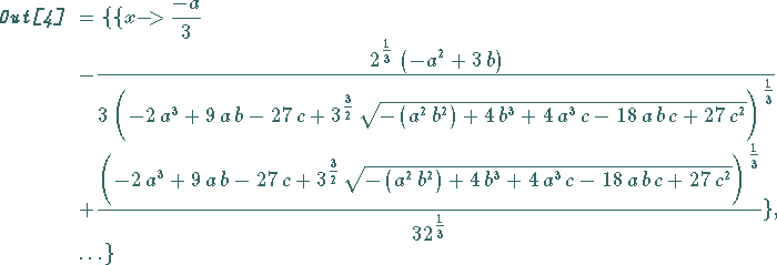
Beispiel

Allgemeine Lösung einer Gleichung dritten Grades:


Mathematica liefert

Wegen der Länge ihrer Terme wurde in der Lösungsliste nur die erste Lösung explizit aufgeführt. Will man eine Gleichung mit gegebenen Koeffizienten lösen, so ist es besser, die Gleichung selbst mit zu behandeln, als die Werte von der formalen Lösung zuzuweisen.

Beispiel A

Für die kubische Gleichung wird:

 
 

Beispiel B

Lösung einer Gleichung 6. Grades:

 
 

Mathematica ist es gelungen, die Gleichung in Beispiel B mit internen Mitteln zu faktorisieren; danach wird sie problemlos gelöst.

Wenn es um numerische Lösungen geht, sollte man von vornherein die Anweisung benutzen; sie ist meist schneller.

Beispiel

Die folgende komplizierte Gleichung löst man mit :