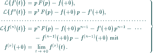
Wenn die Ableitungen
für
existieren und
die höchste auftretende Ableitung von
eine Bildfunktion besitzt, dann haben auch
die niedrigeren Ableitungen einschließlich
eine Bildfunktion, und es gilt:
 |
(15.13) |
Aus der Gleichung (15.13) ergibt sich die folgende Darstellung des
LAPLACE-Integrals, die zur genäherten Berechnung von LAPLACE-Integralen
genutzt werden kann:
 |
(15.14) |